那一年吉他谱_许巍_D调原版双吉他谱_吉他谱_钢琴谱_简谱
发布时间:2025年11月19日 点击数:
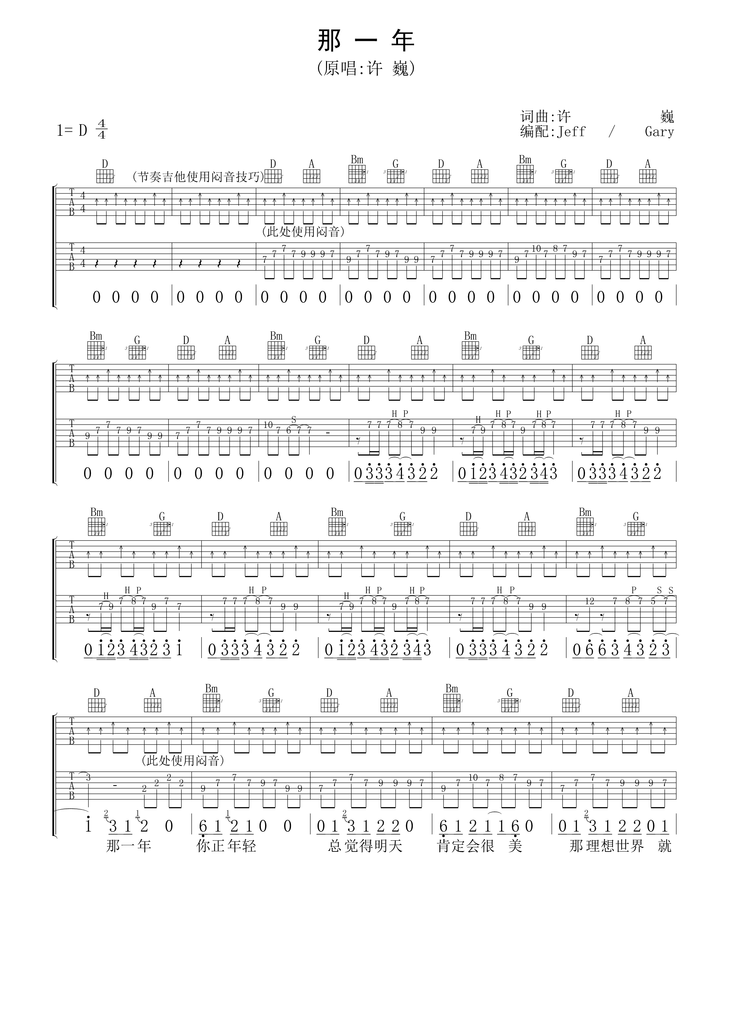
吉他谱介绍:那一年吉他谱,许巍演唱的一首歌曲,4/4拍的节奏,这首歌曲的原调为D调,这里曲谱采用了D调指法进行编配,演唱时可不夹变调夹,曲谱由曲谱网更新上传,共4张高清图片弹唱吉他谱例,来源于@Jeff编配出品。这首歌的特色在于,如果是双吉他配合演奏的话,效果会更好。此次分享的为双吉他版本的《那一年》弹唱吉他谱,采用D调指法,横按虽然较多,但是不难,需要注意的是前奏的闷音部分。

那一年吉他谱4-许巍
-
落叶归根吉他谱_王力宏_G调原版弹唱谱_图片六…
歌曲有着小提琴陪衬优美旋律的复古曲风,更让人觉得跟以往不一样。曲中10名乐手奏响的弦乐是亮点,而歌词则通过情深愁淡的笔触,描述了一个游子在外的反思与对命运的感慨,铺陈出一个美国出生的华人归依中国文化的心路旅程。 -
Casablanca卡萨布兰卡吉他谱_北非谍影 A调扫弦…
《卡萨布兰卡》使用吉他谱 A调指法扫弦版_由17吉他编配_贝蒂·希金斯演唱。卡萨布兰卡这首歌,讲述的是对爱人刻苦铭心的思念,告诉我们应该要勇敢一些,不要害怕失败与挫折,慢慢来就好了,一切都会好起来的,异地恋只是短暂的,等到熬过去了,双方两人就能够永远在一… -
真爱的力量吉他谱_巴音孟克_C调原版弹唱谱_图…
真爱的力量吉他谱,歌曲原调为E调,此版本的曲谱来源于@两万五,为4/4拍的节奏,按C调指法编配,共1张高清吉他谱,变调夹4品为原歌曲的调式,演唱时可按个人音域选择合适的变调夹位置。 这是一首蒙语歌曲,虽然歌词可能不懂,但它的旋律似乎有着直抵人心的力量,洋溢… -
街角的晚风吉他谱_励志豪/神勇尼尼_G调弹唱谱_…
街角的晚风吉他谱,歌曲原调为降B调,此版本的曲谱来源于@网络转载,为4/4拍的节奏,按G调指法编配,共2张高清吉他谱,变调夹3品为原歌曲的调式,演唱时可按个人音域选择合适的变调夹位置。 歌曲表达了对逝去爱情的不舍与矛盾,想靠近回忆又怕受伤,藏着爱而不得的… -
像烟火爱过吉他谱_单依纯_C调和弦弹唱谱_新歌…
《像烟火爱过》是单依纯演唱的流行歌曲,亦是电视剧《许我耀眼》的主题曲,由吴易纬填词,周兴哲谱曲,陈君豪、张少瑜编曲。 单依纯以清澈而深邃的嗓音,描绘爱里最矛盾的温柔。该曲是写给每一个在爱里奋不顾身的人——牵过的手、错过的彩虹、藏在脉搏中为谁跳动的悸… -
青花吉他谱_周传雄_G调扫弦版弹唱谱_图片六线谱
歌曲隐喻了恋人为爱许下的承诺,如青花般永恒。歌词氛围中带有浓厚的江南气息,以中国的青花陶瓷艺术象徵信物,勾绘出人们面对爱情聚散时的纠葛心情及身处爱情中对于信守承诺的在乎与执着。 -
Don't Cry吉他谱_B调原版六线谱_枪花乐队_经典…
Don’t Cry吉他谱,枪花乐队一首经典的英文歌曲,这首歌曾经唱过成千上万的人哭过,因为它总能触动人们心中最柔软的地方。在这首歌中,沧桑之中透出无尽的愤怒,主唱Axlrose悲伤地唱了一首激动人心的柔情歌曲,原来将愤怒演绎到极致是如此的无助,真的很希望不会有那… -
One Way Ticket-单程车票- 凯莉·安德伍德Carr…
《One Way Ticket》是美国乡村音乐歌手Carrie Underwood于2012年发行的专辑《Blown Away》中收录的乡村流行风格单曲。歌曲以轻快的节奏与明朗的旋律为基调,融合派对巴士、海滩度假等意象,传递逃离现实压力、追寻自由欢乐的主题。 歌词通过鱼钩上的鱼、挡风玻璃上的… -
为你而来吉他谱_李健_G调扫弦版弹唱六线谱_高…
为你而来吉他谱,李健的一首歌,歌曲为4/4拍的节奏,选用G调和弦进行编配,弹奏时变调夹2品即可保持与原曲一样的调式A调,当然也可以根据实际情况自己微调变调夹品数。《为你而来》吉他弹唱谱完整曲谱共3张图片六线谱,由Young吉他上传。 -
Live House吉他谱_卢广仲_G调原版弹唱谱_图片…
Live-House吉他谱,歌曲原调为#F调,此版本的曲谱来源于@濮宇,为4/4拍的节奏,按G调指法编配,共1张高清吉他谱,变调夹降半音调弦为原歌曲的调式,演唱时可按个人音域选择合适的变调夹位置。

会员登录





















