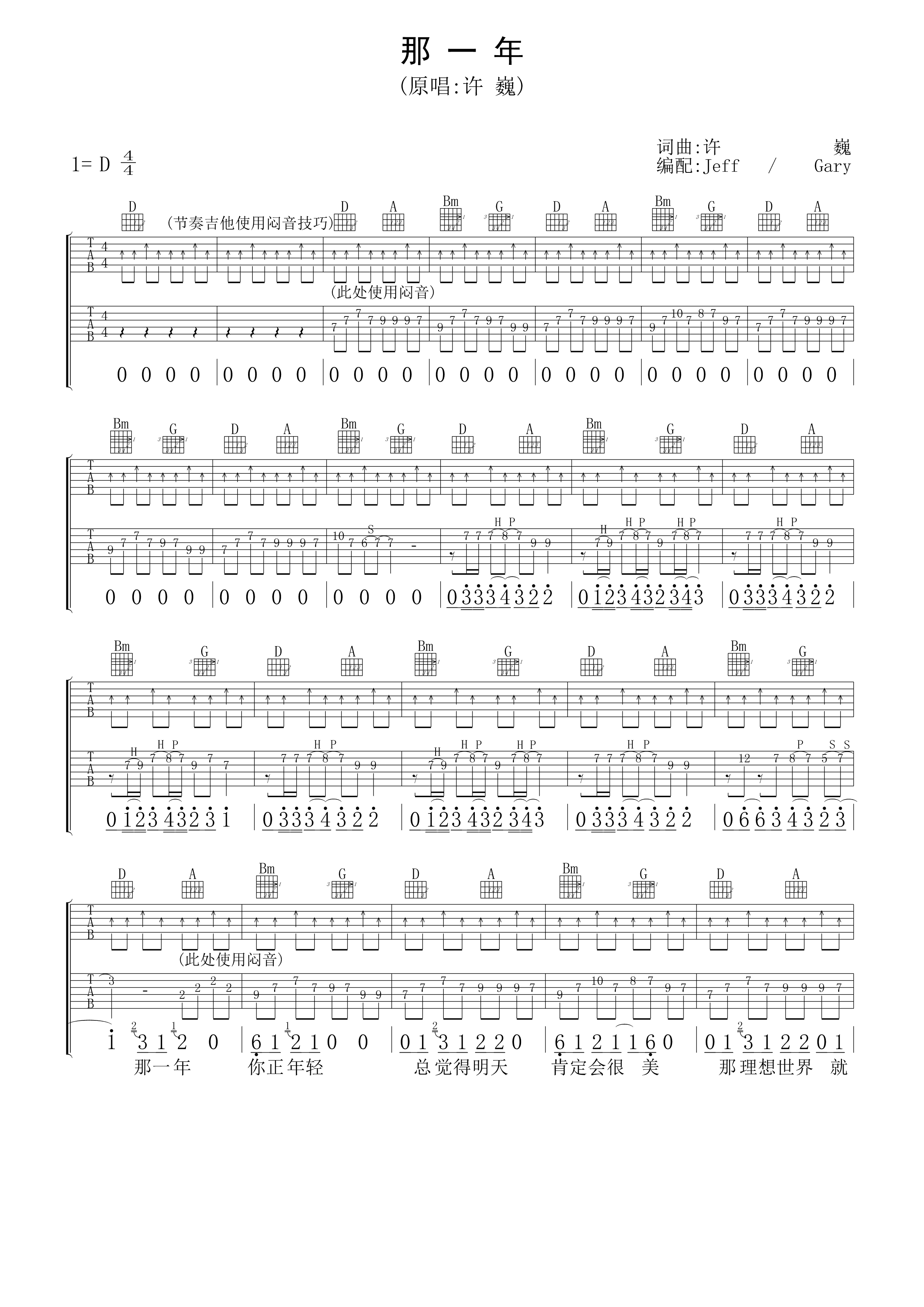
那一年吉他谱_许巍_D调双吉他原版弹唱谱_图片六线谱
发布时间:2025年11月20日 点击数:
那一年吉他谱,歌曲原调为D调,此版本的曲谱来源于@Jeff,为4/4拍的节奏,按D调指法编配,共4张高清吉他谱,变调夹不夹为原歌曲的调式,演唱时可按个人音域选择合适的变调夹位置。
这首歌的特色在于,如果是双吉他配合演奏的话,效果会更好。此次分享的为双吉他版本的《那一年》弹唱吉他谱,采用D调指法,横按虽然较多,但是不难,需要注意的是前奏的闷音部分。
-
一个爱上浪漫的人吉他谱_孟庭苇_C调扫弦版弹唱…
一个爱上浪漫的人吉他谱,歌曲原调为#C调,此版本的曲谱来源于@52JT,为4/4拍的节奏,按C调指法编配,共3张高清吉他谱,变调夹1品为原歌曲的调式,演唱时可按个人音域选择合适的变调夹位置。 这首歌主歌部分营造朦胧意境,副歌通过“爱上浪漫就注定要翻越层层的山岭… -
四季吉他谱_许巍_A调原版弹唱谱_图片六线谱
四季吉他谱,歌曲原调为降B调,此版本的曲谱来源于@吉他大师,为4/4拍的节奏,按A调指法编配,共2张高清吉他谱,变调夹1品为原歌曲的调式,演唱时可按个人音域选择合适的变调夹位置。 许巍在这首歌中用四季的流转阐释了对生活的热爱,完整呈现了从春天到冬天的时序跨… -
不醉不会吉他谱_田馥甄_G调原版弹唱谱_图片六…
不醉不会吉他谱,歌曲原调为B调,此版本的曲谱来源于@网络转载,为4/4拍的节奏,按G调指法编配,共4张高清吉他谱,变调夹4品为原歌曲的调式,演唱时可按个人音域选择合适的变调夹位置。 歌曲以轻快鼓点与吉他旋律为基调,借"醉眼看世界"的视角探讨处世哲学,倡导以包… -
大小孩吉他谱_张韶涵_G调原版弹唱谱_图片六线谱
大小孩吉他谱,歌曲原调为A调,此版本的曲谱来源于@吉他天空,为4/4拍的节奏,按G调指法编配,共4张高清吉他谱,变调夹2品为原歌曲的调式,演唱时可按个人音域选择合适的变调夹位置。 这首由钱雷老师为她量身打造的作品,以吉他分解开始铺陈,以悠远的藏族吟唱与极具… -
裙下之臣吉他谱_陈奕迅_G调原版弹唱谱_图片六…
裙下之臣吉他谱,歌曲原调为降B调,此版本的曲谱来源于@黑白原声,为4/4拍的节奏,按G调指法编配,共3张高清吉他谱,变调夹3品为原歌曲的调式,演唱时可按个人音域选择合适的变调夹位置。 黄伟文的词很细腻,怪诞而又幻灭。开头的弦乐有一点王菲作品的感觉,有点邪,… -
江南雪吉他谱_礼越_C调原版弹唱谱_图片六线谱
江南雪吉他谱,歌曲原调为D调,此版本的曲谱来源于@两万五,为4/4拍的节奏,按C调指法编配,共3张高清吉他谱,变调夹2品为原歌曲的调式,演唱时可按个人音域选择合适的变调夹位置。 -
我们的翡冷翠吉他谱_周传雄_G调原版弹唱谱_图…
我们的翡冷翠吉他谱,歌曲原调为G调,此版本的曲谱来源于@狂生兄,为4/4拍的节奏,按G调指法编配,共2张高清吉他谱,变调夹不夹为原歌曲的调式,演唱时可按个人音域选择合适的变调夹位置。 周传雄在创作中采用观察者视角解读现代爱情模式,以木吉他编曲呈现成年人情… -
绽放吉他谱_郑润泽_G调原版弹唱谱_图片六线谱
绽放吉他谱,歌曲原调为A调,此版本的曲谱来源于@一颗加菲,为4/4拍的节奏,按G调指法编配,共2张高清吉他谱,变调夹2品为原歌曲的调式,演唱时可按个人音域选择合适的变调夹位置。 郑润泽以个人情感经历为创作灵感,历时三个月完成词曲创作。作品延续其擅长的抒情风… -
思念吉他谱_蔡健雅_C调原版弹唱谱_图片六线谱
思念吉他谱,歌曲原调为D调,此版本的曲谱来源于@诚意音乐,为4/4拍的节奏,按C调指法编配,共2张高清吉他谱,变调夹2品为原歌曲的调式,演唱时可按个人音域选择合适的变调夹位置。 歌曲以“风筝”隐喻情感的牵绊,通过“剪断了线”象征主动终结思念,而“又被思念包… -
拆东墙吉他谱_许嵩_C调弹唱谱_图片六线谱
拆东墙吉他谱,歌曲原调为C调,此版本的曲谱来源于@八宝,为4/4拍的节奏,按C调指法编配,共3张高清吉他谱,变调夹不夹为原歌曲的调式,演唱时可按个人音域选择合适的变调夹位置。 许嵩借叙述一个唐代小酒馆老板的悲情人生,影射当下种种社会现实,颇有后现代意味。…

会员登录





















