理想简谱_赵雷_电视剧陈二狗的妖孽人生主题曲_吉他谱_钢琴谱_简谱


理想 (Ideal) (《陈二狗的妖孽人生》电视剧主题曲) - 赵雷
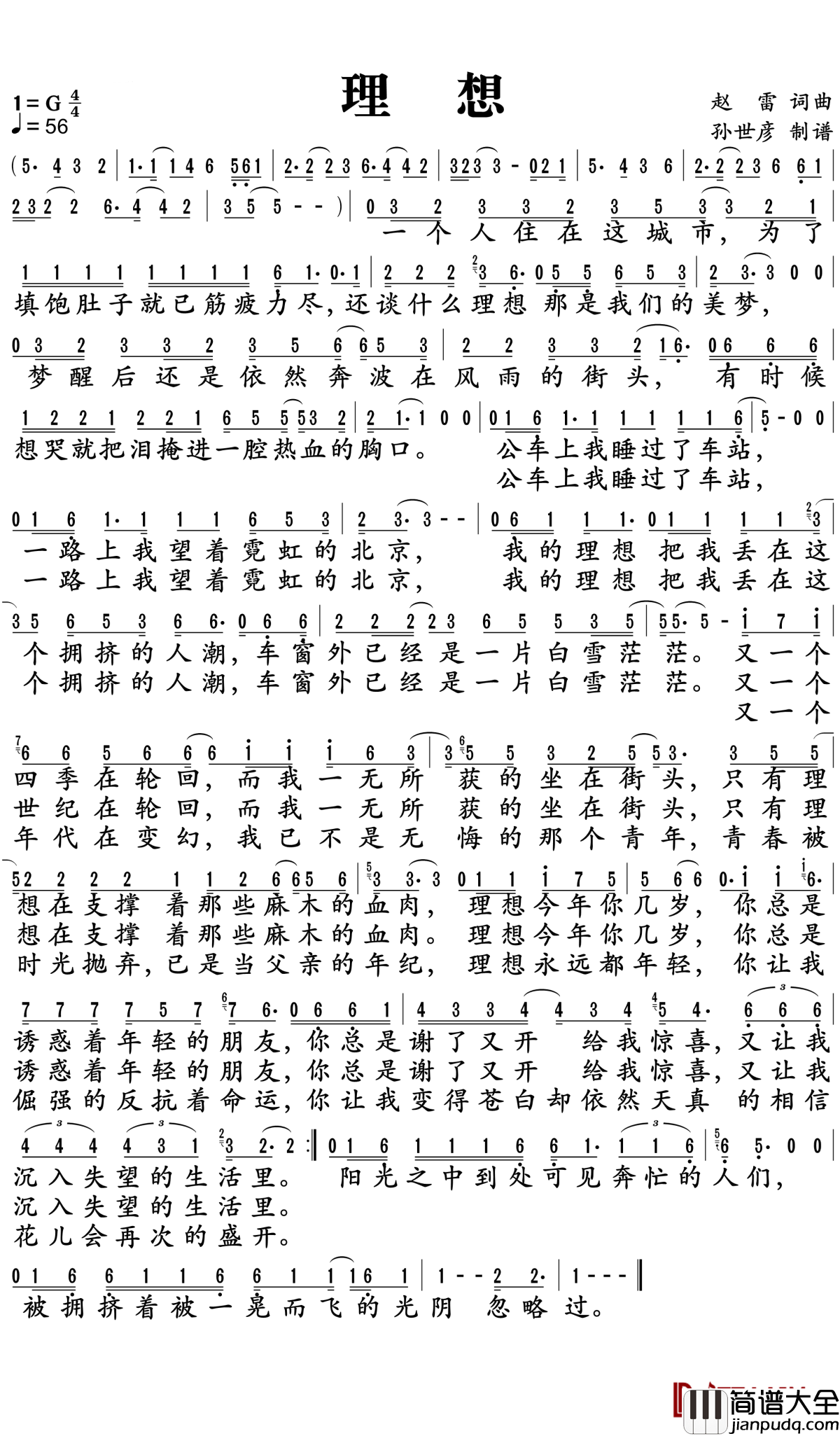
词:赵雷
曲:赵雷
编曲:赵雷
一个人住在这城市
为了填饱肚子就已精疲力尽
还谈什么理想
那是我们的美梦
梦醒后
还是依然奔波在风雨的街头
有时候想哭就把泪
咽进一腔热血的胸口
公车上我睡过了车站
一路上我望着霓虹的北京
我的理想把我丢在这个拥挤的人潮
车窗外已经是一片白雪茫茫
又一个四季在轮回
而我一无所获的坐在街头
只有理想在支撑着那些麻木的血肉
理想今年你几岁
你总是诱惑着年轻的朋友
你总是谢了又开 给我惊喜
又让我沉入失望的生活里
公车上我睡过了车站
一路上我望着霓虹的北京
我的理想把我丢在这个拥挤的人潮
车窗外已经是一片白雪茫茫
又一个四季在轮回
而我一无所获的坐在街头
只有理想在支撑着那些麻木的血肉
理想今年你几岁
你总是诱惑着年轻的朋友
你总是谢了又开 给我惊喜
又让我沉入失望的生活里
又一个年代在变换
我已不是无悔的那个青年
青春被时光抛弃
已是当父亲的年纪
理想永远都年轻
你让我倔强地反抗着命运
你让我变得苍白
却依然天真的相信
花儿会再次的盛开
阳光之中 到处可见奔忙的人们
被拥挤着
被一晃而飞的光阴忽略过
就像赵雷的《理想》里唱到的“公车上我睡过了车站一路上我望着霓虹的北京我的理想把我丢在这个拥挤的人潮车窗外已经是一片白雪茫茫”

每次听到这里,便想起很多次晚上加了班,坐在已经不再拥挤的公车上,靠着窗户,看着窗外霓虹闪闪,车窗上的冷气凝成水滴下来,车到站了,提起沉重的身体下车,深呼一口气,明天还要继续努力!
如果说赵雷的《开往北京的火车》里唱到的“即使北京再拥挤还是给我留了一个位置的”这句歌词很符合那时那刻的心境。

那《再见北京》里唱的“再见北京再见你或许我已上了年纪再回到这里或许我已不能适应熟悉的人们都离开了我们已失去联系曾有反复的快乐忧伤在这里聚齐”便是后来离开了北京半年以后再回去时的感受了。

那些曾经在北京,肆无忌惮,每周一聚的朋友,还在联系的没几个了。
前面提到的那个人,大概也已经结婚了。
写到这里,突然觉得这满篇的字眼都透露着矫情病似的。
北京、天真的理想、曾经喜欢的人…都已成为过去式了。
-
千与千寻钢琴简谱_久石让_宫崎骏演唱_吉他谱_…
《千与千寻》(千と千尋の神隠し)是2001年上映的日本彩色电影,由宫崎骏编剧并执导,久石让配乐,柊瑠美、入野自由、中村彰男、夏木麻里等配音的动画电影。于2001年7月20日在日本上映,2019年6月21日在中国大陆公映。2022年8月5日起,该片在中国台湾地区重映数字修复… -
三月里的小雨简谱 - 卓依婷-原唱为刘文正《校…
《三月里的小雨》是由卓依婷翻唱的经典歌曲,原唱为刘文正。该歌曲收录于专辑《校园青春乐2》,由小轩作词,谭健常作曲。卓依婷的版本曾发行于2015年,并于2021年推出翻唱版本收录于《21年6月短视频》专辑。此外,该歌曲还推出过KTV版及Flash动画版(截至2024年播放量… -
谷雨简谱_洛天依演唱_铭言君/桑葚上的猴子词曲…
曲/编:桑葚上的猴子作词:铭言君原唱:洛天依---翻唱:鹤七后期:正直团海报:佳珞[六月配音联盟静湖上浮萍霜落又几番明空下杨柳飞絮缘自怜烟雨弥散窗前牡丹是谁人的期盼雨点滋润着百谷迎新篇染素衣风过心头... -
母爱是一首唱不够的歌简谱_乐声扬曲谱_吉他谱_…
在这个世界上,母亲是与我们的生命联系得最紧密的人,母亲是我们最坚实的感情依托。现在,让我们再一次融入这种人类最美好的感情中,再唱一首献给母亲的歌。 -
韩红_【功勋】片尾曲_星梦_(电视剧【功勋】片…
《星梦》是由韩红演唱的影视歌曲,正式发行于2021年12月21日,收录于《功勋 电视剧原声专辑》中。该曲由段思思作词、谭旋作曲,作为电视剧《孙家栋的天路》主题曲,歌词以"骑单车到月亮"等意象展现航天追梦主题。 2022年3月27日,国家广电总局将该曲使用权证书赠予国… -
奔向小康简谱_绮萱演唱_娄星/桂慧飞词曲_吉他…
奔向小康简谱_绮萱演唱_娄星/桂慧飞词曲_吉他谱_钢琴谱_简谱 -
乌兰巴托之夜 动态谱 张大伟
《乌兰巴托之夜》(西里尔蒙古文:Улаанбаатарын Үдэш,又名《乌兰巴托的夜》)是B. Badar-Uugan首唱的民族歌曲,由普日布扎布·桑堆扎布填词,格斯尔扎布·普日布道尔吉谱曲,发行于1985年。 《乌兰巴托之夜》是首赞美家乡的歌曲,描绘的是乌兰巴… -
弯弯的月亮(歌声飘过四十年)
《弯弯的月亮》是李海鹰作词、作曲,刘欢演唱的歌曲,是1989年央视第一部音乐电视片《大地情语》的插曲。该曲后收录于刘欢在1992年8月28日发行的个人专辑《蒙古小夜曲》中。 《弯弯的月亮》创作于1989年的夏天,当时音乐电视片《大地情语》制作组请李海鹰配插曲,他… -
Save_Yourself钢琴简谱_One_Ok_Rock演唱_吉他…
《Save Yourself》是英国歌手Birdy(本名Jasmine Van Den Bogaerde)与Sam Romans共同创作的流行歌曲,收录于2016年发行的第三张录音室专辑《Beautiful Lies》。歌曲由Birdy参与钢琴演奏及声乐编排,制作团队包括混音师Craig Silvey和制作人MyRiot,融合了极简钢琴旋… -
明天会更好简谱_卓依婷演唱_动态歌谱视频曲谱_…
《明天会更好》是由罗大佑发起并主导创作,60位华语歌手共同参与演唱的公益歌曲,由罗大佑、张大春、李寿全、邱复生、徐乃胜、张艾嘉、詹宏志共同作词,罗大佑作曲,陈志远编曲。该曲收录于滚石国际音乐股份有限公司推出的同名音乐合辑《明天会更好》,于1985年10月25…

会员登录




















