好可惜简谱_庄心妍_比生死更遗憾的是解散_吉他谱_钢琴谱_简谱








好可惜 - 庄心妍
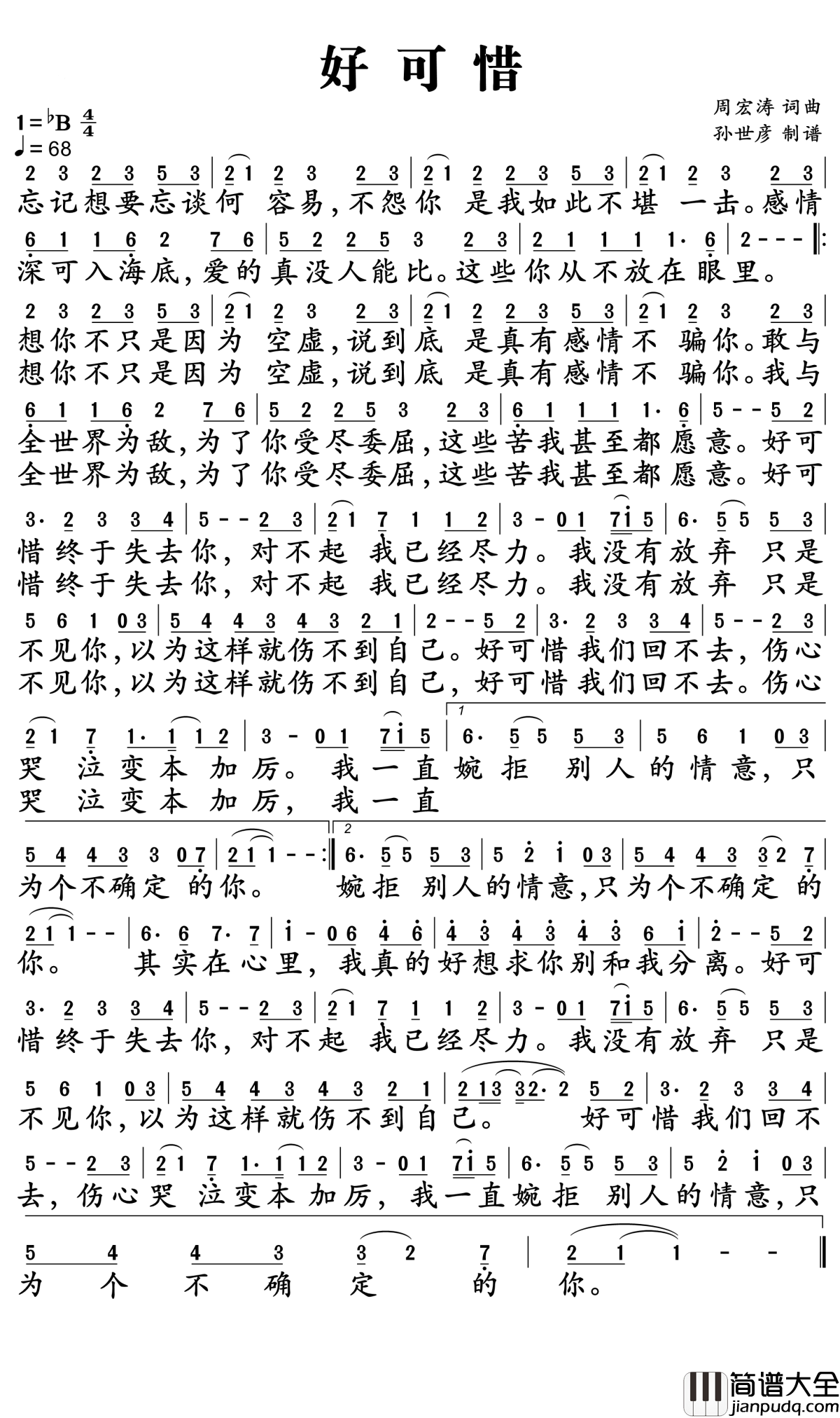
词:周宏涛
曲:周宏涛
忘记 想要忘谈何容易
不怨你 是我如此不堪一击
感情深可入海底
爱的真没人能比
这些你从不放在眼里
想你 不只是因为空虚
说到底 是真有感情不骗你
敢与全世界为敌
为了你受尽委屈
这些苦我甚至都愿意
好可惜终于失去你
对不起我已经尽力
我没有放弃 只是不见你
以为这样就伤不到自己
好可惜我们回不去
伤心哭泣变本加厉
我一直婉拒 别人的情意
只为个不确定的你
想你 不只是因为空虚
说到底 是真有感情不骗你
我与全世界为敌
为了你受尽委屈
这些苦我甚至都愿意
好可惜终于失去你
对不起我已经尽力
我没有放弃 只是不见你
以为这样就伤不到自己
好可惜我们回不去
伤心哭泣变本加厉
我一直婉拒 别人的情意
只为个不确定的你
其实在心里
我真的好想求你别和我分离
好可惜终于失去你
对不起我已经尽力
我没有放弃 只是不见你
以为这样就伤不到自己
好可惜我们回不去
伤心哭泣变本加厉
我一直婉拒 别人的情意
只为个不确定的你
《好可惜》是歌手庄心妍演唱专辑,由致力音乐出品。
第五张专辑《好可惜》里,我们找到在热门歌单里都曾出现的歌曲,这些歌曲要比以往的专辑中所出现的热门歌曲还要多!《热恋过后》、《好可惜》、《两个人的回忆一个人过》等等热门歌曲,都曾在各大音乐榜单中出现前几的位置,让我们不得不说,这张专辑,也将是一个极具收藏价值的原创大碟!

当第五张专辑《好可惜》全部制作完成后,庄心妍深深的向在场的工作人员鞠躬,并说到:"这张专辑,很感谢各位。当然,这也是我从网络到流行乐坛的开始!"那么,你还有什么理由拒绝听这张专辑呢?至少我不会,那么我相信,你也不会!

当你认真谈过一段感情,最后却分手了,后来你会很难再去喜欢别人,你不想花时间也不想去了解。就好比你写一篇文章快写完了,但老师说你字潦草把作业撕了让你重新写一遍。虽然你记得开头和内容但你也懒得写了,因为一篇文章花光了你所有精力,只差一个结尾,你却要从头来过。
-
千与千寻钢琴简谱_久石让_宫崎骏演唱_吉他谱_…
《千与千寻》(千と千尋の神隠し)是2001年上映的日本彩色电影,由宫崎骏编剧并执导,久石让配乐,柊瑠美、入野自由、中村彰男、夏木麻里等配音的动画电影。于2001年7月20日在日本上映,2019年6月21日在中国大陆公映。2022年8月5日起,该片在中国台湾地区重映数字修复… -
三月里的小雨简谱 - 卓依婷-原唱为刘文正《校…
《三月里的小雨》是由卓依婷翻唱的经典歌曲,原唱为刘文正。该歌曲收录于专辑《校园青春乐2》,由小轩作词,谭健常作曲。卓依婷的版本曾发行于2015年,并于2021年推出翻唱版本收录于《21年6月短视频》专辑。此外,该歌曲还推出过KTV版及Flash动画版(截至2024年播放量… -
谷雨简谱_洛天依演唱_铭言君/桑葚上的猴子词曲…
曲/编:桑葚上的猴子作词:铭言君原唱:洛天依---翻唱:鹤七后期:正直团海报:佳珞[六月配音联盟静湖上浮萍霜落又几番明空下杨柳飞絮缘自怜烟雨弥散窗前牡丹是谁人的期盼雨点滋润着百谷迎新篇染素衣风过心头... -
母爱是一首唱不够的歌简谱_乐声扬曲谱_吉他谱_…
在这个世界上,母亲是与我们的生命联系得最紧密的人,母亲是我们最坚实的感情依托。现在,让我们再一次融入这种人类最美好的感情中,再唱一首献给母亲的歌。 -
韩红_【功勋】片尾曲_星梦_(电视剧【功勋】片…
《星梦》是由韩红演唱的影视歌曲,正式发行于2021年12月21日,收录于《功勋 电视剧原声专辑》中。该曲由段思思作词、谭旋作曲,作为电视剧《孙家栋的天路》主题曲,歌词以"骑单车到月亮"等意象展现航天追梦主题。 2022年3月27日,国家广电总局将该曲使用权证书赠予国… -
奔向小康简谱_绮萱演唱_娄星/桂慧飞词曲_吉他…
奔向小康简谱_绮萱演唱_娄星/桂慧飞词曲_吉他谱_钢琴谱_简谱 -
乌兰巴托之夜 动态谱 张大伟
《乌兰巴托之夜》(西里尔蒙古文:Улаанбаатарын Үдэш,又名《乌兰巴托的夜》)是B. Badar-Uugan首唱的民族歌曲,由普日布扎布·桑堆扎布填词,格斯尔扎布·普日布道尔吉谱曲,发行于1985年。 《乌兰巴托之夜》是首赞美家乡的歌曲,描绘的是乌兰巴… -
弯弯的月亮(歌声飘过四十年)
《弯弯的月亮》是李海鹰作词、作曲,刘欢演唱的歌曲,是1989年央视第一部音乐电视片《大地情语》的插曲。该曲后收录于刘欢在1992年8月28日发行的个人专辑《蒙古小夜曲》中。 《弯弯的月亮》创作于1989年的夏天,当时音乐电视片《大地情语》制作组请李海鹰配插曲,他… -
Save_Yourself钢琴简谱_One_Ok_Rock演唱_吉他…
《Save Yourself》是英国歌手Birdy(本名Jasmine Van Den Bogaerde)与Sam Romans共同创作的流行歌曲,收录于2016年发行的第三张录音室专辑《Beautiful Lies》。歌曲由Birdy参与钢琴演奏及声乐编排,制作团队包括混音师Craig Silvey和制作人MyRiot,融合了极简钢琴旋… -
明天会更好简谱_卓依婷演唱_动态歌谱视频曲谱_…
《明天会更好》是由罗大佑发起并主导创作,60位华语歌手共同参与演唱的公益歌曲,由罗大佑、张大春、李寿全、邱复生、徐乃胜、张艾嘉、詹宏志共同作词,罗大佑作曲,陈志远编曲。该曲收录于滚石国际音乐股份有限公司推出的同名音乐合辑《明天会更好》,于1985年10月25…

会员登录




















