牧马城市简谱_毛不易_电视剧_老男孩_片尾曲_吉他谱_钢琴谱_简谱







牧马城市 (《老男孩》电视剧片尾曲) - 毛不易
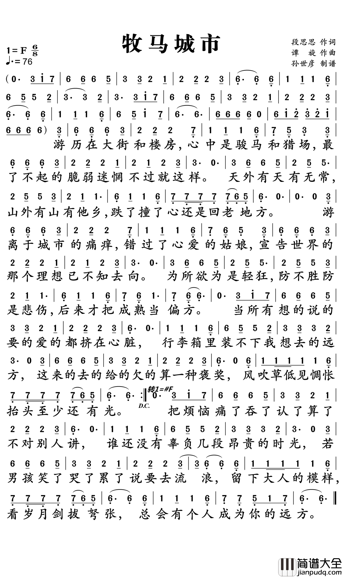
词:段思思
曲:谭旋
编曲:蔡科俊
制作人:谭旋
吉他:蔡科俊
贝斯:蔡科俊
弦乐:国际首席爱乐乐团
录音:谭旋
混音:周天澈
和声:曾缔
录音棚:谭旋音乐工作室
出品:上海谭旋音乐工作室
游历在大街和楼房
心中是骏马和猎场
最了不起的脆弱迷惘
不过就这样
天外有天有无常
山外有山有他乡
跌了撞了 心还是回老地方
游离于城市的痛痒
错过了心爱的姑娘
宣告世界的那个理想
已不知去向
为所欲为是轻狂
防不胜防是悲伤
后来才把成熟当偏方
当所有想的说的要的爱的
都挤在心脏
行李箱里装不下我 想去的远方
这来的去的给的欠的 算一种褒奖
风吹草低见惆怅 抬头至少还有光
游历在大街和楼房
心中是骏马和猎场
最了不起的脆弱迷惘
不过就这样
天外有天有无常
山外有山有他乡
跌了撞了 心还是回老地方
游离于城市的痛痒
错过了心爱的姑娘
宣告世界的那个理想
已不知去向
为所欲为是轻狂
防不胜防是悲伤
后来才把成熟当偏方
当所有想的说的要的爱的
都挤在心脏
行李箱里装不下我 想去的远方
这来的去的给的欠的算一种褒奖
风吹草低见惆怅
抬头至少还有光
把烦恼痛了吞了认了算了
不对别人讲
谁还没有辜负几段 昂贵的时光
若男孩笑了哭了累了
说要去流浪
留下大人的模样
看岁月剑拔弩张
总会有个人成为你的远方
一首《消愁》,多少人因此记住了毛不易。其中,八杯酒敬出的人生苍凉之处,更是深入人心。

而《消愁》之后,毛不易为电视剧《老男孩》献唱片尾曲《牧马城市》,红得不要不要的。
这首《牧马城市》,为《老男孩》量身打造,讲述了男孩成长为男人的故事,堪称男人的李志情歌。

原本洒脱不羁爱自由的老男孩吴争遭遇从天而降的16岁儿子萧晗,随之而来的不仅是学习怎样当父亲这个挑战,更有处处作对的麻辣女教师林小欧紧随其后。
从此吴争与林小欧开始了这段解不开的缘分……
在一次次命运般的相遇中,吴争与林小欧感情渐深,随后两人的感情因其家长和老师的身份颇受争议。
他们将如何面对他人的眼光,又怎样面对萧晗呢?
除了甜虐交加的爱情,吴争一路成长总有兄弟相伴。
史非在吴争父子摩擦频频时挺身而出当代理老爸,却又幽默道出铁哥们的相处模式:上一秒歃血为盟,下一秒割袍断义。
好兄弟情谊究竟作何发展,着实令人好奇。

《老男孩》聚焦于“中国式老男孩”的成长与困惑,在看似嬉笑怒骂中反映却是生活在当下社会的“老男孩”们的心境及情感需求。
年近不惑,他们在社会及家庭中的角色也逐渐在变化,而现实生活中,他们往往是在情感上容易被忽略的群体。
歌曲《牧马城市》继承了毛不易一贯的伤感风格。

毛不易的歌声,刻画了刘烨这位“老男孩”心中的“诗和远方”,以及他那遗失的爱情和梦想。
前奏像一曲激昂的战歌,就像一个男孩在前进的道路上固执的战斗,在快路中途而要放弃时一曲前奏峰回路转的为快要倒下的人注入了红色鲜血,给予继续战斗的希望。
正如毛不易微博所写:年少不知爱,知爱不少年,也许身处异乡才懂得寂寞难防,但却最明白自己为什么要经历这样。
毛不易写的说“老男孩”,也是我们所有“年少不知爱,知爱不少年”的人。

都说:最怕在某个年纪,突然听懂一首歌,却要一直听这首歌。
不过,我还是希望你所想的,都为时不晚。
-
千与千寻钢琴简谱_久石让_宫崎骏演唱_吉他谱_…
《千与千寻》(千と千尋の神隠し)是2001年上映的日本彩色电影,由宫崎骏编剧并执导,久石让配乐,柊瑠美、入野自由、中村彰男、夏木麻里等配音的动画电影。于2001年7月20日在日本上映,2019年6月21日在中国大陆公映。2022年8月5日起,该片在中国台湾地区重映数字修复… -
三月里的小雨简谱 - 卓依婷-原唱为刘文正《校…
《三月里的小雨》是由卓依婷翻唱的经典歌曲,原唱为刘文正。该歌曲收录于专辑《校园青春乐2》,由小轩作词,谭健常作曲。卓依婷的版本曾发行于2015年,并于2021年推出翻唱版本收录于《21年6月短视频》专辑。此外,该歌曲还推出过KTV版及Flash动画版(截至2024年播放量… -
谷雨简谱_洛天依演唱_铭言君/桑葚上的猴子词曲…
曲/编:桑葚上的猴子作词:铭言君原唱:洛天依---翻唱:鹤七后期:正直团海报:佳珞[六月配音联盟静湖上浮萍霜落又几番明空下杨柳飞絮缘自怜烟雨弥散窗前牡丹是谁人的期盼雨点滋润着百谷迎新篇染素衣风过心头... -
母爱是一首唱不够的歌简谱_乐声扬曲谱_吉他谱_…
在这个世界上,母亲是与我们的生命联系得最紧密的人,母亲是我们最坚实的感情依托。现在,让我们再一次融入这种人类最美好的感情中,再唱一首献给母亲的歌。 -
韩红_【功勋】片尾曲_星梦_(电视剧【功勋】片…
《星梦》是由韩红演唱的影视歌曲,正式发行于2021年12月21日,收录于《功勋 电视剧原声专辑》中。该曲由段思思作词、谭旋作曲,作为电视剧《孙家栋的天路》主题曲,歌词以"骑单车到月亮"等意象展现航天追梦主题。 2022年3月27日,国家广电总局将该曲使用权证书赠予国… -
奔向小康简谱_绮萱演唱_娄星/桂慧飞词曲_吉他…
奔向小康简谱_绮萱演唱_娄星/桂慧飞词曲_吉他谱_钢琴谱_简谱 -
乌兰巴托之夜 动态谱 张大伟
《乌兰巴托之夜》(西里尔蒙古文:Улаанбаатарын Үдэш,又名《乌兰巴托的夜》)是B. Badar-Uugan首唱的民族歌曲,由普日布扎布·桑堆扎布填词,格斯尔扎布·普日布道尔吉谱曲,发行于1985年。 《乌兰巴托之夜》是首赞美家乡的歌曲,描绘的是乌兰巴… -
弯弯的月亮(歌声飘过四十年)
《弯弯的月亮》是李海鹰作词、作曲,刘欢演唱的歌曲,是1989年央视第一部音乐电视片《大地情语》的插曲。该曲后收录于刘欢在1992年8月28日发行的个人专辑《蒙古小夜曲》中。 《弯弯的月亮》创作于1989年的夏天,当时音乐电视片《大地情语》制作组请李海鹰配插曲,他… -
Save_Yourself钢琴简谱_One_Ok_Rock演唱_吉他…
《Save Yourself》是英国歌手Birdy(本名Jasmine Van Den Bogaerde)与Sam Romans共同创作的流行歌曲,收录于2016年发行的第三张录音室专辑《Beautiful Lies》。歌曲由Birdy参与钢琴演奏及声乐编排,制作团队包括混音师Craig Silvey和制作人MyRiot,融合了极简钢琴旋… -
明天会更好简谱_卓依婷演唱_动态歌谱视频曲谱_…
《明天会更好》是由罗大佑发起并主导创作,60位华语歌手共同参与演唱的公益歌曲,由罗大佑、张大春、李寿全、邱复生、徐乃胜、张艾嘉、詹宏志共同作词,罗大佑作曲,陈志远编曲。该曲收录于滚石国际音乐股份有限公司推出的同名音乐合辑《明天会更好》,于1985年10月25…

会员登录




















